Пример 2. При каждом выстреле с вероятностью а = 0.7 поражается цель, а с вероятностью 1 — а = 0.3 — нет.
Какое число п выстрелов нужно произвести, чтобы вероятность хотя бы одного поражения цели была больше 1 — а = 0.99?
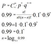
Ответ:
У вас вместо вероятности попадания 0,3 - вероятность опоздания студента каждое утро = 0,1
Вместо вероятности поражения цели 0,99 - вероятность опаздания =0,99 Число дней будет (log ( 1 - 0,99))/(log (1-0,1)) = (log 0,01)/(log 0,9) = 44
-----------------------
Это легко проверить:
Нужно всего лишь определить степень, в которую нужно возвести число 1- 0,1 = 0,9 чтобы получить число ( 1-0,99) = 0,01 . Эта степень = 44, что и требовалось доказать.
то есть тут надо брать вероятность с которой он не опоздает на занятия?
Да.
Вероятность НЕопоздания два дня подряд равна 0.9х0.9 и т.д.
Смотрим когда вероятность неопоздания за N дней подряд станет равна 0,01 или меньше
Я слегка опис а лся.
Вместо слов
“У вас вместо вероятности попадания 0,3 - вероятность опоздания студента каждое утро = 0,1”
нужно читать
“У вас вместо вероятности попадания 0,7 - вероятность опоздания студента каждое утро = 0,1”
Спасибо вам большое за помощь
{"assets_hash":"a8b26fa7f6e768b07a72c8c9aadb9422","page_data":{"users":{"3df73dac3df9550077796fad":{"_id":"3df73dac3df9550077796fad","hid":1045,"name":"Вячеслав_Старухин","nick":"Вячеслав_Старухин","avatar_id":null,"css":""},"3e5f98243df95500777969e4":{"_id":"3e5f98243df95500777969e4","hid":1390,"name":"SAN","nick":"SAN","avatar_id":null,"css":""},"4922921f3df95500777755c6":{"_id":"4922921f3df95500777755c6","hid":40816,"name":"Andruxa","nick":"Andruxa","avatar_id":null,"css":""}},"settings":{"can_see_ip":false,"can_report_abuse":false,"can_see_hellbanned":false,"forum_can_view":true,"forum_can_reply":false,"forum_edit_max_time":30,"forum_can_close_topic":false,"forum_show_ignored":false,"forum_mod_can_delete_topics":false,"forum_mod_can_hard_delete_topics":false,"forum_mod_can_see_hard_deleted_topics":false,"forum_mod_can_edit_posts":false,"forum_mod_can_pin_topic":false,"forum_mod_can_edit_titles":false,"forum_mod_can_close_topic":false,"can_vote":false,"forum_mod_can_add_infractions":false,"forum_topic_title_min_length":10,"forum_reply_old_post_threshold":30,"votes_add_max_time":168,"forum_show_post_interval":7,"can_see_deleted_users":false},"section":{"_id":"61c9a54c3df9550077bb50ab","hid":6,"title":"Курилка","parent":"61c9a54c3df9550077bb5123","description":"Разговоры на общие околомодельные темы.","is_category":false,"is_votable":true,"is_writable":true,"cache":{"topic_count":8213,"post_count":312967,"last_post":"686a557344153b3865a4b2c5","last_topic":"5fdd01443df9550077bd92a2","last_topic_hid":561889,"last_topic_title":"Вакцина от Ковид.","last_ts":"2025-07-06T10:52:35.198Z","last_user":"4b266b503df9550077766e9e"}},"topic":{"_id":"4bc29e2c3df955007781dd12","hid":182786,"title":"Помогитe пожaлуйстa с зaдaчeй по тeории вeроятности","views_count":1778,"last_post_counter":8,"cache":{"post_count":8,"first_post":"4bc29e2c3df955007781e895","first_ts":"2010-04-12T04:14:36.000Z","first_user":"4922921f3df95500777755c6","last_post":"4bc2fd4e3df955007781e8a3","last_post_hid":8,"last_ts":"2010-04-12T11:00:30.000Z","last_user":"4922921f3df95500777755c6"},"st":1,"section":"61c9a54c3df9550077bb50ab"},"subscription":null,"pagination":{"total":8,"per_page":25,"chunk_offset":1},"posts_list_before_post":["paginator","datediff"]},"locale":"en-US","user_id":"000000000000000000000000","user_hid":0,"user_name":"","user_nick":"","user_avatar":null,"is_member":false,"settings":{"can_access_acp":false,"can_use_dialogs":false,"hide_heavy_content":false},"unread_dialogs":false,"footer":{"rules":{"to":"common.rules"},"contacts":{"to":"rco-nodeca.contacts"}},"navbar":{"tracker":{"to":"users.tracker","autoselect":false,"priority":10},"forum":{"to":"forum.index"},"blogs":{"to":"blogs.index"},"clubs":{"to":"clubs.index"},"market":{"to":"market.index.buy"}},"recaptcha":{"public_key":"6LcyTs0dAAAAADW_1wxPfl0IHuXxBG7vMSSX26Z4"},"layout":"common.layout"}