Разрабатываем теорию строительства самолетов и теорию полетов

SOLENOID
Вячеслав_Старухин:

Там же ( www.wing.com.ua/content/category/6/26/43/ ) еще есть :

Аэродинамика :
Академия Жуковского. Сборник научных трудов
Гуков В.В. и др. Основы теории полета летательных аппаратов
Аронин - Практическая аэродинамика
Глауэрт. Основы теории крыльев и винта
Байдаков, Клумов. Аэродинамика

Рядом ( www.wing.com.ua/content/category/6/27/43/ )

Конструирование:
Александров. Воздушные винты
Айрапетян.Справочник по клеям
Азаров. Химия древесины и синтетических полимеров

😒 Вы б не могли написать какие книги наибольше понятны и применимы в жизнь на ваше усмотрения.
Жаль сейчас сдаю экзамены 😵 потому некогда читать, но я обязательно прочту. 😎

listosha

Лично мое мнение - очередная полезная ветка.
Спасибо автору и Вячеславу. Он первый перешел от флуда на тему “на фиг это надо” к конкретным действиям… Еще раз спасибо! 😃

19 days later
Anatol_Brand

не знаю как проголосовать - и да и нет.
теорию, в общих чертах, знать безусловно надо - почему самолёт летает и крыльями не машет, да и пожалуй, достаточно.
излишне теоретизировать ни к чему. можно уподобиться тем товарищам, которые круглый год днями и ночами просиживают за чертежами, строят 3D модели и дышат циакрином вместо того чтобы наслаждаться полётом своих творений под пение жаворонков и ароматы полевых трав… впрочем, каждому своё.
по-моему надо строить как интуиция подсказывает, не получается - переделывать, пробовать в полёте и доводить до желаемого результата.
в общем, вот мой скромный вклад в теорию и практику постройки моделей и ответ на тему:
rcopen.com

JonsonSh

Совсем всю теорию излагать не надо, надо изложить хотябы основные полезные направления, но опять же кто их будет излагать? Те кто действительно это может сделать занят, им чем заняться, а от псевдотеоретиков толку нет. Если посмотреть форум, то грамотно отвечают как правило одни и теже люди и перечень таких имен не так уж велик. Сейчас что хорошо, разделы форума грамотно разбили, можно общаться в нужной тебе ветке, только особо не с кем. Например большие копии (которые меня интерисуют) с демонстрацией результатов работы практически ни кто не ведет, как на том же www.rcscalebuilder.com, так как мало кто строит. У просто больших самолетов, не то что копий, подводных камней море, там на глаз особо не порикидываешь, можно потерять слишком много.
В связи с выше сказанным, нужно для начала сосоатвить список тем какие хотелосьбы рассмотреть, а не тупо писать формулы для расчета. В конечном итоге, если все делать правильно, то каждая такая подтема это практически статья с тем же объемом.

To: Майк
Ну, и четвертый случай забыл описать:
У кого катострофически не хватает времени, тот покупает АРФ или КИТ (тяга к копанию есть, но недолгая) и летает в свое и других удовольствие - моторы подбирает, машинки, кабанчики…

А вы сами пробовали быстро и качественно соберать KIT? Хотелось бы на это посмотреть. Я взял KIT исключительно по большей части чтобы не заморачиваться с закупкой нужных материалов и резкой, далеко не у всех есть возможность это сделать. Его сборка так как нужно и доводка до ума, занимает очень много времени. А сам KIT, в простонародье дрова, представляет собой обычные бальзовые листы и рейки как в магазине, разве что некоторые детали нарезаны, при этом не совсем знаете ли качественно и ровно, нифига себе экономия времени. Я с удовольствием пошел в клуб и учился у тех кто занимается этим профессионально и долгие годы, только вот беда, все развалили и такие люди почти все поуходили и клубы развалились, в основном те кто остался живут на чистом энтузиазме. Да и время такое что знание деньги и просто так делиться ими желают далеко не все.

Anatol_Brand:

теорию, в общих чертах, знать безусловно надо - почему самолёт летает и крыльями не машет, да и пожалуй, достаточно.
излишне теоретизировать ни к чему. можно уподобиться тем товарищам, которые круглый год днями и ночами просиживают за чертежами, строят 3D модели и дышат циакрином вместо того чтобы наслаждаться полётом своих творений под пение жаворонков и ароматы полевых трав… впрочем, каждому своё.
по-моему надо строить как интуиция подсказывает, не получается - переделывать, пробовать в полёте и доводить до желаемого результата.

Те кто сами строят или те кто хочет разобраться и понять как это должно быть сделано, заводят топики с конкретными вопросами, а те кто только дергает за ручки как правило заводят темы типа “принимаю соболезнования, разбился по непонятной причине, это все помехи”. Потытка развить данную тему в нормальном русле обречена на провал, так как она безгранична и надо делать список подтем, которые были бы интерсны. Самые первые основы теории и так описаны во множестве доступных статей. Меня в основном интерисуют узкие моменты строительства, например выбор машинок, какие “плечи” должны быть у релей, как произвести расчет конструкции, кто как реализовал тот или иной узел модели и т.д., таких вопросов тоже очень много. И чтобы на них ответить нужны знания подкрепленные опытом.

SOLENOID

Народ давайте ворошиться, а то что-то некто не пишет.

Lazy

А что вам писать? Ссылок накидали? Изучайте, задавайте вопросы… 😁

SAN

А что вам писать?

Как говорил мой сын, учась в школе: “Дайте мне формулу”
😁

SOLENOID
SAN:

Как говорил мой сын, учась в школе: “Дайте мне формулу”
😁

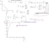
😃 вот вам формула , считайте. 😃 😃

SAN

Замечательно, что вы владеете математическим аппаратом за первый курс технического ВУЗа.
Но попробуйте применить ваши уравнения к практике сами и посчитайте какой-нибудь самолёт (любой). У вас все данные для расчета по этой формуле есть?

2 months later
vovoshka

А вообщето Конструкторов мало, а летчиков много. И поддержать исчезающий “подвид” хомо-сопенус лучще чем бить их по ответвлениям мозгов!!!

SAN

Ради бога! Поддержите.
И что вы для этого будете делать?

PS Насчёт подвида поясните заодно: что за “сопенус”? 😃

ЕВГЕНИЙ-ARM

Непонятна мне цель этого топа и постоянно обхожу мимо , но раз человек мучается и тем более его родной язык уже английский , тут все ответы на ваши вопросы sky.prohosting.com/air2/design.htm
Человек изголодался по теории - а вы злые все 😎

boroda_de

Почему-то навеяло.
Музыка М.Фрадкина
Слова народные

Мы промчимся на оленях
по всем темам на дизайне
и ответим по-бобруйски
на презренный эФаКу

Ты узнаешь, не напрасно
назовут оленеводом
Ты то званье заработал
я тебе его дарю

P.S. да, мы злые 😎

ЕВГЕНИЙ-ARM

Эххх. Был Клен- с С пообещал спасти русский моделизм дав народу супер программу после которой модель узнав что на неё обсчитали винт начнет гребсти с повышенным КПД невзирая на размеры и мощность мотора .
Этог - сгнобили супостаты великого.
Сейчас наверное из-за бугра к нему кланяются чтоб хоть пару байт от его прожки получить …
Был великий моторостроитель МИГ-29 , решил сделать кризис буржуям и разроботать ТРД с самых что ни на есть копеечных отходов. Вход шло все с помойки начиная от пустых банок от пепси и кончая выброшенных пылесосов.
Опять зверски замученный лег на дно подвала и опять чертежи теперя никому не дает и не показывает.
*************************************
Вот блин у нас всегда так , при жизни не ценим , а после памятники ставим.
😢 😂 😂 😂 😂 😒

pakhomov4
ЕВГЕНИЙ-ARM:

*************************************
Вот блин у нас всегда так , при жизни не ценим , а после памятники ставим.
😢 😂 😂 😂 😂 😒

Прошу заметить - ЭТО не я сказал… 😁 : Ладно, отмечаем День Шахтёров! 😁 У нас сегодня при полётах ни один из шахтёров не пострадал 😛

SAN
ЕВГЕНИЙ-ARM:

Эххх. Был Клен- с С пообещал спасти русский моделизм дав народу супер программу после которой модель узнав что на неё обсчитали винт начнет гребсти с повышенным КПД невзирая на размеры и мощность мотора .
Этог - сгнобили супостаты великого.

Лично я, в память о Великом Начинании Клёна-С и Alex144 храню в избранном ещё и эту тему.

ЕВГЕНИЙ-ARM
pakhomov4:

Прошу заметить - ЭТО не я сказал… 😁 : Ладно, отмечаем День Шахтёров! 😁 У нас сегодня при полётах ни один из шахтёров не пострадал 😛

Да ладно вам .
Хорошо сказано в фильме Астерикс и Обеликс

Рядом с великими , обязательно должен быть кто то плохой

Ведь уже сколько времени , а не как незабываемо . Вот так и рождаются теории относительности.
На кой читать книги которыми мы глупые до сих пор пользуемся - ведь они написанны до зари великих перемен.
Зачем использовать чужой опыт который уже изложен и проверен . Нужно сделать так чтоб упавшее яблоко объяснило причину падения любым другим способом , но только не посредством его тяготения к земле матушке.
А воздушный винт должен создать какую угодно работу но не ту при помощи которой мы его сегодня используем.
И крылья у самиков держат модель всем чем угодно вплоть до притяжения космоса .
-------------------------------------------------------
Так что не срывайте зло на людях которые тянутся к великому и светлому началу - созданию новой эпохи научной революции.
😎 😃 😵
Во наговорил то …

Вячеслав_Старухин
boroda_de:

Ты узнаешь, не напрасно
назовут оленеводом
Ты то званье заработал
я тебе его дарю

Здорово! Теперь у нас есть свой модельный Пушкин! 😒