Тандем

Sansey

Народ, подскажите кто знает. Где должен быть ЦТ у самолета, если у него сзади вместо стабилизатора еще одно полноценное крыло (возможно даже больше по площади чем переднее) ??? Или в такой модели это не столь важно? Просто где получится ЦТ там и будет точка вращения при “петле” например?

oep

Выдержка из статьи в журнале “Крылья родины” за февраль 1989 года.
При полете на больших углах атаки перед сваливанием срыв потока должен наступать в первую очередь на переднем крыле. В противном случае самолет при сваливании будет резко задирать нос, и переходить в штопор. Это явление называется “подхватом” и считается совершенно недопустимым. Способ борьбы с “подхватом” на “утке” и “тандеме” найден давно: необходимо увеличить угол установки переднего крыла по отношению к заднему, причем разница в углах установки должна составлять 2-3 градуса.
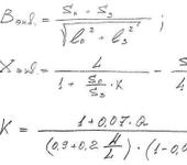
Правильно спроектированный самолет автоматически опускает нос, переходит на меньшие углы атаки и набирает скорость, тем самым реализуется идея создания несваливаемого самолета. У “стандартной утки” (площадь горизонтального оперения 15-20% от площади крыла и плечом оперения, равным 2.5-3 САХ) центр тяжести должен располагаться в пределах от 10 до 20% САХ. У тандема центровка должна быть в пределах 15-20% Вэкв (хорды эквивалентного крыла) смотри рисунок. Хорда эквивалентного крыла определяется следующим образом:

Вэкв = (Sп+Sз)/(lп2+lз2)1/2

При этом расстояние до носика эквивалентной хорды равняется:

Хэкв = L/(1+Sп/Sз*К)-(Sп+Sз)/(4*(lп2+lз2)1/2)

Где К – коэффициент, учитывающий разность углов установки крыльев, скосы и торможение потока за передним крылом, равняется:

К = (1+0,07*Q)/((0.9+0.2*(H/L))*(1-0.02*(Sп/Sз)))

В приведенных формулах:
Sп - площадь переднего крыла.
Sз - площадь заднего крыла.
L - аэродинамическое плечо тандема.
lп - размах переднего крыла.
lз - размах заднего крыла.
Q - превышение угла установки переднего крыла над задним.
H - расстояние по высоте между осью переднего и заднего крыльев.

Sansey

Благодарю за зобьяснение. Только немного не понял, угол атаки переднего крыла должен быть положительным или отрицательным? Зависит ли скорость срыва от площади крыла и его длины? Если заднее крыло длинее и/или шире переднего, то может и угол атаки можно не выставлять? Не помню на каком форуме видел ДВСный тандем, тема кстати так и называлась. То у человека даже при остановке в воздухе он никуда не сваливался а просто парашутировал в низ. Темболее самолет строится как тренер для отработки работы с аппаратурой сразу по всем ручкам (пока не умею одновременно работать двумя руками) тоесть на малых скоростях и чтобы прощал мою заторможеную реакцию. Лучше пускай парашутирует чем падает пока я догадаюсь поддать газку…

oep

При тандемной компоновке оба крыла создают положительную подъемную силу, если профиль крыла (например) симметричный и одинаков для переднего и заднего крыла, то для поддержания горизонтального полета угол атаки обоих крыльев должен быть положительный, при этом у переднего больше на 2-3 градуса, что бы срыв потока наступил раньше на нем.
Если на крыльях используются профили несимметричные и с разным максимальным коэффициентом подъемной силы, то просто ответить довольно сложно.

Скорость срыва тем меньше, чем меньше нагрузка на крыло, или больше макс. коэф. подъемной силы.
Влияние удлинения крыла на начало срыва есть, но если крылья подобные по геометрии, им можно пренебречь.

А в случае ДВСного - красиво парашютировал, устойчивый срыв с двух крыльев, но они были, если не ошибаюсь, одинаковые. В случае разных крыльев подобная картина может не выйти.

Sansey

Вэкв = (Sп+Sз)/(lп2+lз2)1/2

Подчеркунутое это в квадрате? а зачеркнутое это типа все это вычесление поделить еще на два? Тоесть умножить на одну вторую? Ато чето расчеты получаются в виде 2,5*10-6

Хэкв = L/(1+Sп/Sз*К)-(Sп+Sз)/(4*(lп2+lз2)1/2)

Тут тоже самое

oep

В экв = (S п +S з )/(l п 2 +l з 2 ) 1/2

Х экв = L/(1+S п /S з *К)-(S п +S з )/(4*(l п 2 +l з 2 ) 1/2 )

К = (1+0,07*Q)/((0.9+0.2*(H/L))*(1-0.02*(S п /S з )))

😵 упс, это были степени: в квадрате и корень квадратный.

Sansey

Такс… водка кончилась, пора продолжать думать…
Снова вопрос. 1/2 это я так понял корень квадратный. Но не понял где он стоит. Сколько скобок в него входит или только одна, та за которой он стоит? Или же все выражение после знака равно?

oep

Q - в градусах со знаком (+), если на кабрирование, (-) - на пикирование.

Sansey

Во, спасибо за фотку, сразу все стало наглядно и понятно. Начнем расчеты делать. Q пока оставлю в нуле. А там видно будет, если что, то какое нибадь из крылышек переклею либо же элеронамы буду регулировать это Q. я надеюьс можно так, опустить их оба на 1-20 или поднять?