Телеметрия (часть 2)
Имелось в виду, что конец трубки, торчащий наружу из самолета должен быть жестким, чтоб потоком его не гнуло. Для этого в конец гибкой трубки (топливная вполне подойдет) идущей от бародатчика нужно вставить кусок металлической или пластиковой трубки, которая и будет выходить наружу.
Немного не так. Трубка должна быть жёсткой, чтобы не пережималась. От капельниц почти идеальный вариант, плотно сидит на датчиках, толстостенная и при этом элестичная, лёгкая и есть в любой аптеке. Конец трубки я натягиваю на согнутое Г-образно колено от телескопической антенны, которое прилеплено под крылом и выходит на пару см вперёд кромки. Но можно и всунуть “укрепитель” внутрь трубки, это не важно.
Важно, чтобы в трубку задувал только встречный поток строго перпендикулярно. Никаких потоков от винта и т.п. В случае толкающих винтов надо помнить о зоне разряжения перед винтом.
Вот смотри что у меня получилось настроить на 5 канал
SW Е + SW H
D -33% D - 33% U -33%
N 0 D 0 U 0
U +33% D +33 Up +67%
F/S 93%
Итого
Если поставить на
SW E D + SW H (D or U) - Автопилот
SW E N + SW H (D or U) - НИЧЕГО
SW E U + SW H (D or U) - Стабилизацию
SW E U + SW H U - Экран
то все вроде как в норме за исключением что экран можно переключать только с включенной стабилизацией
Что скажешь?
Скажу, что это отличный вариант. Решпект за упорство в поиске решения.
По поводу автовключения пилота при срабатывании файлсейфа и невозможности поставить файлсейф в канале на больше чем 100% или меньше чем -100%…
Так кто мешает схитрожопить и скормить пилоту не полный, а урезанный с одного краю диапазон перемещения ручки при калибровке аппы? 😃
Потом этой ручкой можно, не выключая аппу, включать-выключать пилот.
Или, поставив файлсейф на этом канале в украденный от пилота кусок диапазона, включать-выключать пилота, включая-выключая аппу, и вообще быть в шоколаде 😁
Segodnia hotel zakazat datciki toka na telemetriju, uznal ocen nechorosuju novost: Oni sniati s proizvodstva i u amerikosov datcikov na 100 amper uze netu i nebudet.
Cto delat ??? mozet kakie drugie podoidut?
Скажу, что это отличный вариант. Решпект за упорство в поиске решения.
По поводу автовключения пилота при срабатывании файлсейфа и невозможности поставить файлсейф в канале на больше чем 100% или меньше чем -100%…
Так кто мешает схитрожопить и скормить пилоту не полный, а урезанный с одного краю диапазон перемещения ручки при калибровке аппы? 😃
Потом этой ручкой можно, не выключая аппу, включать-выключать пилот.
Или, поставив файлсейф на этом канале в украденный от пилота кусок диапазона, включать-выключать пилота, включая-выключая аппу, и вообще быть в шоколаде 😁
Я против Включать выключать аппу для включения и выключения автопилота
а с F/S все отлично
его можно поставить на - 90% к примеру и тогда получится следующее
от -бесконечности до -70 F/S
от -50 до - 30 Автопилот
от -20 до +20 Ничего
от +20 до +50 Ассистент
от +60 до +70 Экран
а дальше можно играться как хошь
к примеру на F/S поставить лететь на заданный WP
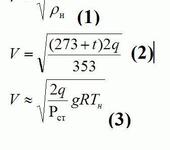
P1-P2=(rv^2) /2, где r - плотность воздуха, v^2 - квадрат скорости, P1-P2 - разница давлений на дифференциальном датчике
Здравствуйте smalltim!
Как я понимаю, Вы используете в телеметрии формулу 1 для рассчёта скорости?
Но почему вы не используете формулы 2 и 3, более точные, с коррекцией по температуре и атмосфорному давлению? Ведь и термометр, и барометр у вас на плате есть! Не страдает ли от этого точность показаний телеметрии?
Да знаете, как-то просто не сложилось.
Точная высота была с самого начала гораздо важнее, чем точная скорость. Баровысота считается с поправкой на температуру, а скорость - нет. В итоге баровысота в обычных условиях (не летаем перед грозой) где-то, наверное, максимум на процент, ну, может быть, на два процента от истинной отличается, а скорость, хотя бы из-за отсутствия термокоррекции, на 5-10% может уползти от истинной. Летайте в сухую погоду в 0 градусов !😃
Я достаточно много места высвободил в прошивке 261 под минителеметрию, попробую термокоррекцию для скорости ввести.
>Segodnia hotel zakazat datciki toka na telemetriju, uznal ocen nechorosuju novost: Oni sniati s proizvodstva i u amerikosov datcikov na 100 amper uze netu i nebudet.
Cto delat ??? mozet kakie drugie podoidut?
Не переживать и купить датчик на 75 или на 50А. Изменение прошивки под новый датчик - это изменение одного числа в коде. Захотите-сами поменяете, не захотите - я Вам прошивку испеку.
То есть для высоты идёт эта формула?
Н = 18400*(1 + 0.00366*t)*lg (P1/P2) ? Это хорошо…
А скорость надо оптимизировать! Важный ведь параметр, особенно для любителей летать у земли 😉 10%, это достаточно много. Можно свалить самолётик…
парни, не подскажете, как в программе eagle 5.6.0 при печати сделать изображение в негативе? просто я хочу сделать smalltimовскую телеметрию, но платы делаю с фоторезистом, вот и нужно изображение в негативе сделать для плёнки.
михалыч2, отписал в личку.
Тим ! Мой решпект за индивидуальный подход (за это береги печень !) Ох ! Жду-не дождусь релиза автопилота ! Сел ваять обучающий ролик по второму копилоту (настройка и установка). Салют ! Мини-smalltim телеметрия - шедевр ! С датчиками мы уложились в 60 грамм !!!

Прикольные теньки ! Отнюдь не хуже стандартных телеметрий… Супер
Коллеги, есть большая пачка автопилотных печаток самой первой ревизии, не пошедших в серию из-за ошибки в разводке компаса. Всё остальное там в порядке. Если кому-нибудь надо, например, понабивать руку в паянии SMD деталек или сотворить что-нибудь свое на AT90USB1287, то забирайте, отдам затак.
Сегодня прислали модуль LS20031 с efo.ru. Сайт показывает наличие еще одного модуля.
Тим! Телеметрию подключил! Всё ОК!!! Все датчики работают! ЖПС пока проверить не смог - далеко от окна. Он моргает один раз и больше не горит, думаю это нормально, пока он в комнате.
Немного подпортили радость мои “Сайбекс ПРО”. В них нижняя строка видна только наполовину. Сверху и с боков запас есть. Проверил на видеокамере - всё отлично, со всех краёв большой запас. Придётся ждать “пилот” с программатором и перемещать строку.
И, тем не менее, я очень доволен результатом!!! Завтра всё упакую в самик и проверю ЖПС как следует.
Плата ощутимо греется, но когда измерил температуру её-же датчиком, оказалось чуть больше 40 градусов (хотя рукой кажется горячо).
Тим, почистите плиз личку.
>Немного подпортили радость мои “Сайбекс ПРО”. В них нижняя строка видна только наполовину.
Ооочень странно. Я ж как раз для Сайбексов (у меня, кстати, такие же) по просьбе коллег пододвигал строчки, чтобы ничего никуда не вылезало.
Коллеги, может это вылезание зависеть от модели камеры-передатчика?
>Плата ощутимо греется, но когда измерил температуру её-же датчиком, оказалось чуть больше 40 градусов (хотя рукой кажется горячо).
Да, небольшое движение воздуха над платой в недрах модельки надо обеспечить.
Кстати, в режиме поиска спутников ГПС кушает больше, чем когда они уже найдены, так что в полете греться будет еще меньше.
Мда, телеметрия действительно греется…
Да, небольшое движение воздуха над платой в недрах модельки надо обеспечить.
Кстати, в режиме поиска спутников ГПС кушает больше, чем когда они уже найдены, так что в полете греться будет еще меньше.
Тоже заметил, что при включении плата теплее, чем через некоторое время работы. Даже без обдува.
Вот скрин с видеокамеры. От текста до краёв здесь места больше, чем на дисплее. Там текст по бокам вплотную к краям, сверху и снизу есть место на пол строки. В очках проблема только снизу. Тимофей, может быть у тебя когда нибудь найдётся время состряпать для меня индивидуальный вариант прошивки. Программатор попробую подобрать подходящий. Или подождать до пилота?
Должен отметить качество гпс Тима, на окне в космос уходит очень быстро, крутой вовин 10-герц гпс за 40 минут спутники на окне так и не нашел…
кстати, возможно наша взбычка, заставила вову выпустить 3.02 прошивон, где самик все-таки стабилизируется пироголовой и управляется тремя каналами (элероны или РН, РВ и газ) причем на стабилизацию надо элероны подключить в канал РН, но все равно до Тиминого алгоритма ему оооочень далеко
Должен отметить качество гпс Тима, на окне в космос уходит очень быстро, крутой вовин 10-герц гпс за 40 минут спутники на окне так и не нашел…
полностью согласен
не знаю как вовин крутой гпс, но гпс Тимофея нашел спутники даже в середине комнаты лежа на столе. Для сравнения, гпс в моем телефоне, который замечательно работает в машине в любом месте, в той-же комнате через раз ловит спутники даже на подоконнике.
крутой в смысле скорострельности. не более
Сегодня провёл летные испытания телеметрии (жуткий ветер, но терпежу нет).
Приятно поражён точностью показаний всех датчиков. Спутники ловит легко и непринуждённо ( в отличии от моего навигатора).
Но, выявился один момент. Весьма пасмурное небо на видеоизображении выглядит абсолютно белым. Из-за этого трудно читается информация, даже с тенями.
Может быть есть способ уменьшить контраст или яркоть на бортовой камере?
