справочник моделиста

rrteam

Серёга сделал Огромную работу - яб памятник поставил.😃
Спасибо! Извините, коль нарушил регламент…что в самом верху.

puss5:

у дельты за момент времени работает одна обмотка

это не правда.

puss5:

практически на пределе, в третьем варианте будет недокручивать расчетные обороты ,

тож не правда

У кого есть шестиполюсные моторчики- ставьте сразу тайминг 20 или 30 и получайте удовольствие.

puss5
rrteam:

яб памятник поставил.

не, пока поживу!😁

rrteam:

это не правда.

Игорь,я так считаю ,если что то находите неправильное, просьба делать цитату и сразу дополнять и исправлять,здесь должно быть все понятно и главное, ПРАВИЛЬНО!так же для всех кто хочет, что то выложить полезное , пожалуйста в тему, она и задумывалась как справочник для всех, и все имеют полное право сюда выкладывать информацию

rrteam:

Извините, коль нарушил регламент…что в самом верху.

Игорь,регламент один, достоверная информация,так что ждем поправок 😃

rrteam:

у дельты за момент времени работает одна обмотка
это не правда.

да, совершенно верно,ошибка, в треугольнике работают все обмотки

вот мною было собрано по крохам из разных источников и форумов, если что не так исправляйте
ЧАСТОТА ПЕРЕКЛЮЧЕНИЯ ДВИГАТЕЛЯ
PWM-Frequency. Есть значения: 8kHz / 9kHz / 10kHz / 12kHz / 14kHz / 16kHz - это частоты работы регулятора в зависимости от конкретного исполнения двигателя.Если частота много выше оптимальной - растут потери на коммутацию ключей в регуляторе, регулятор может излишне нагреваться. Если же частота много ниже оптимальной - растут индуктивные потери в моторе, нагревается двигатель.Идеальный вариант - знать точно какую частоту нужно выбрать для работы конкретного двигателя. Возможно в технических данных на двигатель который Вы используете есть такой рекомендованный параметр частоты. Можно (как вариант) расчитать частоту по ниже изложенной методике.

РАСЧЕТ ШИМ
PWM(частота ШИМ)= Kw мотора*вольтаж мотора*количество МАГНИТОВ мотора (не путать с лучами обмотки мотора)/20 (число постоянно)
Например для мотора Турниджи 2836 3700Kw:
PWM=3700*11,1*6/20=12321Гц (12кГЦ)

ВЫБОР ЧАСТОТЫ ШИМ

Зачастую в приводах определение положения ротора, измерения тока, напряжения и т.п. синхронизируют с сигналом ШИМ . Т.е. в определенные моменты с периодичностью, зависящей от частоты ШИМ сигнала.

Предположим ситуацию, когда, частота ШИМ 8 кГц, скважность 100% (полный газ), двигатель вращается со скоростью, при которой частота коммутаций тоже равняется 8 кГц. Т.е. от момента переключения ключей до следующего переключения проходит ровно один период ШИМ сигнала. Если скорость вращения возрастёт и частота коммутаций превысит частоту ШИМ, возникнет ситуация, при которой ШИМ сигнал будет удерживать ключи открытыми дольше необходимого и противодействовать вращению двигателя. Кроме того, измерение напряжения на свободной фазе синхронизированы частотой ШИМ сигнала, поэтому нет технической возможности вычислить скорость коммутации выше частоты ШИМ. Другими словами контролер теоретически не сможет управлять двигателем, если тот вращается со скоростью, при которой частота коммутаций превышает частоту ШИМ сигнала. Это только теоретические расчеты. На практике, желательно чтобы частота ШИМ в несколько раз превышала частоту коммутаций.

Например, имеем регулятор с частотой ШИМ 8 кГц, и двигатель с 14 магнитами.
Максимальная теоретически возможная частота вращения вала двигателя будет:

V=(Q/6/(N/2)*60);

Q — частота ШИМ в герцах
6 — количество коммутаций за один электрический оборот
N — количество магнитов
60 — количество секунд в минуте

V=((8000/6/(14/2))*60) = 11428 об/мин.

Двигатель с 28 магнитами:
V=((8000/6/(28/2))*60) = 5714 об/мин.

Т.е. если вам нужно управлять многополюсным двигателем на высоких оборотах, придется использовать регулятор с более высокой частотой ШИМ.

Например, чтобы раскрутить двигатель с 24 магнитами до 10000 об/мин понадобится регулятор с частотой ШИМ не ниже 24 кГц. Нужно так же помнить, что чем выше частота ШИМ, тем больше переходных процессов происходит на ключах за единицу времени. Это может привести к увеличению потерь и к увеличению тепловыделения на ключах.

Sergey87
puss5:

Т.е. от момента переключения ключей до следующего переключения проходит ровно один период ШИМ сигнала. Если скорость вращения возрастёт и частота коммутаций превысит частоту ШИМ, возникнет ситуация, при которой ШИМ сигнал будет удерживать ключи открытыми дольше необходимого и противодействовать вращению двигателя.

Всё зависит от реализации прошивки. В хороших регуляторах, переключения секторов BLDC осуществляются независимо от периодов сигнала ШИМ. Вооружитесь осциллографом и посмотрите сигналы в фазах например регулятора фирмы CastleCreations, там будет очевидно, что переключение происходит относительно перехода через ноль, никакой дискретности относительно периода ШИМ там нет.

Кроме того, измерение напряжения на свободной фазе синхронизированы частотой ШИМ сигнала, поэтому нет технической возможности вычислить скорость коммутации выше частоты ШИМ.

Вы забыли о наличии практически во всех регуляторах компараторов, которые формируют прерывания по переходу напряжения свободной фазы через ноль, после чего формируют прерывание, никак не связанное с дискретностью измерений АЦП. А даже если эта задача возложена на АЦП, то разработчики могли задействовать ещё один таймер, работающий на частоте в N раз выше, чем частота ШИМ, и запускать АЦП по сигналу от этого таймера. Вообщем техническая возможность как раз таки есть.

rrteam
puss5:

Игорь,регламент один, достоверная информация,так что ждем поправок

Сергей, вы уже сами всё и поправили!
К вам как ТС нет никаких вопросов- тема оч правильная!
Но иногда … в узком месте находятся некоторые ньюансы…, что тож полезно знать как реализовано. (ну кому интересно)
Вот другой Сергей частично ответил- как.

Я уж не говорю про некоторые прибамбасики, что выручают и уже были обкатаны в гонках, теми кто смог написать софт для контроллера.
Костюк- пользовал изменение тайминга по 3му каналу с дискретной кнопки.
Турнаев- заложил включение реверса через 3 секунды после потери сигнала с передатчика
Матвеев - экспериментировал с динамическим таймингом- что работало до 1 град по точности- по осцилу. С любой нужной кривой.

Если честно… чтот снова захотелось за паяльник взяться, хотя он мне и на работе надоел…😃

puss5
rrteam:

Турнаев- заложил включение реверса через 3 секунды после потери сигнала с передатчика

а зачем?

rrteam:

Но иногда … в узком месте находятся некоторые ньюансы…, что тож полезно знать как реализовано. (ну кому интересно)

очень даже интересно!

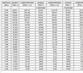
пара таблиц ,проволока для перемотки моторов,диаметр , сечение одинарное и жгута , допустимые токи

Sergey87
puss5:

а зачем?

Это просто Игорь немного неверно описал работу этой системы. 😃

Речь идёт о системе автоматического освобождения воткнувшейся в дно водоёма модели.
У Эко Эксперт иногда возможны заныривания, при которых модель на мелком водоёме втыкается носом в ил, поэтому я сделал на своём регуляторе специальную систему.
В случае, если модель находится носом вниз под углом до 45 градусов, при отсутствии движения и отсутствии сигнала с передатчика, модель самостоятельно делает несколько рывков задним ходом с нарастающей длительностью и мощностью, для освобождения. Когда регулятор засечёт движение и переход в горизонтальное положение или подъём носа вверх, либо появится сигнал передатчика, система перестаёт работать.
Основано это естественно на трёхосевом акселерометре и трёхосевом гироскопе.

Просто моя модель предыдущего поколения утонула как раз по этой причине на тренировке, впрочем это оказалось к лучшему, я избавился от всех сдерживающих факторов когда построил новую. 😃

Помимо этого есть светодиодная мигалка из шести светодиодов суммарной мощностью около 20Вт, её проверка показала, что вспышки видно в абсолютно мутной воде на глубине 3 метра с расстояния 10 метров, но только вечером или в облачную погоду, днём видимость хуже. Работает просто, после включения с задержкой в 30 минут, когда модель гарантировано должна закончить заезд, делаются короткие вспышки с периодом в 10 секунд. Уже не помню точно, на какое время рассчитано, но чёт около суток при наполовину заряженном аккумуляторе.

Выход на серву для выброса аварийного буя тоже предусмотрен, правда буй этот я так и не реализовал.

О рабочих режимах думаю говорить нет смысла, используются самые современные алгоритмы. Я в конце концов не занимаюсь рекламой своего регулятора, поскольку никому его не продаю. 😃

puss5
rrteam:

Костюк- пользовал изменение тайминга по 3му каналу с дискретной кнопки.

rrteam:

Матвеев - экспериментировал с динамическим таймингом- что работало до 1 град по точности- по осцилу.

да, вот это нужное решение! от него во многом зависит максимум эффективности привода

Basin

Делаю гибкий вал. Вопрос чем лучше закрепить наконечник на 1 мм спице - лактайт или припаять припоем или серебром? Понимаю что вопрос делитанский но только в копиях другие проблемы.

An_She
Basin:

лактайт или припаять припоем или серебром?

Лактайт, на Ф1 до кг. валы используют 1,2 мм и все клеят, да и на Эко то же.

puss5
puss5:

УБЕДИТЕЛЬНАЯ ПРОСЬБА НЕ ЗАДАВАТЬ ЗДЕСЬ ВОПРОСОВ И НЕ ЗАСОРЯТЬ ТЕМУ СЛОВОБЛУДИЕМ!,

Парни,я же просил не засорять тему вопросами,это только для справочных данных!

Токсик

Привет всем!

Закину свои пять копеек.
Может кому поможет. Искал переводы размеров долго. Попадались в основном олайн-калькуляторы.
Они переводили только десятичные дюймы, а мне нужно было дробные для перевода размеров с английского
чертежа в метрические.

Всем пока, пока, пока.

puss5
Токсик:

а мне нужно было дробные для перевода размеров с английского
чертежа в метрические.

я пользуюсь таким универсальным конвертером ,дробные тоже берет, под фото файл скачайте,разархивируйте,ярлык на рабочий стол,конвертер работает без установки на комп

CONVERTER ВЕЛИЧИН V-719.rar

Токсик

Привет всем!

Сергей, оно конечно хорошо в программке.
Но не всегда удобно. Когда сидишь рисуешь и переводишь размеры, проще глянуть на листочек отпечатанный.
Стоят у меня подобные программки и понимают дробные значения. Ну это кому как.

Всем пока, пока, пока.

puss5
Токсик:

проще глянуть на листочек отпечатанный.

согласен!себе тоже скачал,сгодиться!

7 days later
11 days later
puss5

не удержался, купил пришли, очень дешевые, сделано отлично, может кому надо
www.ebay.com/itm/161859699302
обычно средняя цена около 4$

Shuttle

Этот продавец мало куда отправляет.

puss5
Shuttle:

Этот продавец мало куда отправляет.

я просил только по делу писать,не моя вина что вашей страны там нет, возьмите в другом месте выбор велик

8 days later
puss5

часто возникают вопросы по смоле, что и как, вот одна из самых распространенных смол L и отвердители для нее, а также расход смолы для композитов и ламинатов

rrteam

Дядь Сергей - ну хотяб производителя прописали
А иначе- будут вопросы
Я так понял, что это R&G

puss5
rrteam:

Я так понял, что это R&G

совершенно верно,немецкая фирма R&G www.r-g.de/ru/ (НЕ РЕКЛАМА)просто не хотелось получить по шапке за рекламу 😃
применительно и к НЕКОТОРЫМ другим смолам,например смола EL graphite-pro.ru/…/эпоксидная-смола-el-epoxy-resin-… РЕКЛАМА) , используются те же отвердители,лично выклеено 7 разных корпусов,обычным способом и вакумной инфузией,прочность и гибкость просто исключительная, но смола дешевле на 20% смолы L!

.