захотелось, трех лопастной винт ! подскажите

Вячеслав_Старухин

Меньшая эффективность вовсе не всегда означает хуже.
В случае с электромотором меньшая эффективность будет означать всего лишь большее потребление.

Barmaley85

вобщем, видимо стоит отмести эту идею…
хотя в нашем городе на трех лопостях никто не летает, вот и хотелось быть первооткрываетелем )) ну и для копийности не помешало бы, хотя я за ней особо не гонюсь…

boroda_de

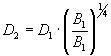
Для рассчёта диамтра многолопастного винта умножаем диаметр двухлопастного на корень четвёртой степени из соотношения количества лопастей двухлопастного к количеству лопастей многолопастного.
D³= D² x 4 √(2/3)
Приближенно: ставим винт на дюйм меньше диаметром и на дюйм больше шагом

BelMik
boroda_de:

Приближенно: ставим винт на дюйм меньше диаметром и на дюйм больше шагом

Если шаг двух лопастного винта был подобран для определенной скорости, то почему у многолопастного винта шаг должен быть больше?

boroda_de

при меньшем диаметре ометаемой площади (пропорциональна квадрату) нужно при тех-же оборотах достигнуть того-же перекачаного объёма воздуха?

BelMik
boroda_de:

при меньшем диаметре ометаемой площади (пропорциональна квадрату) нужно при тех-же оборотах достигнуть того-же перекачаного объёма воздуха?

Это Вы правильно подметили, объем должен быть такой же, диаметр стал меньше, но и лопастей стало больше поэтому объем сохранится, но какое отношение это имеет к шагу винта? Шаг винта определяет угол атаки лопасти к встречному потоку, и для одной и той же скорости он должен быть одинаков.

erno

Прокачать в единицу времени тот же объем воздуха через круг меньшего диаметра можно только увеличив скорость потока. Для этого и надо увеличить шаг.

Вячеслав_Старухин

Вы утверждаете. что число лопастей никак не влияет на объем отбрасывамого ими в сумме воздуха?
В таком случае все вентиляторы имели бы 1(одну) лопасть 😆😒

Как известно, винт с одной лопастью - самый эффективный.
И даже встречается в некоторых авиамоделях.

erno

Да, чуть подумав соглашусь. Воздух то отбрасывает именно лопасть, это не сплошной поток через ометаемую площадь.

Makser

Немного теории. Используем некторые винты Master airscrew с тремя лопостями диаметр до 14. Эффективность их невысока, при переходе на этот винт (пользуясь принципом диаметр меньше на дюйм и шаг больше на дюйм, нежели у двух лопастей) получаем большее токопотребление и меньшую тягу.
Конкретно на моторе rimfire .32 при токах 50 ампер получаем всего 2.2 кг тяги, что не лезет не в какие ворота. Но на что не пойдёшь ради копийности 😉

Возможно это свойство винтов данного производителя.

Вячеслав_Старухин

Это не свойство конкретных винтов.

Так и должно быть.
И всё из-за этого принципа - диаметр меньше на дюйм и шаг больше на дюйм, нежели у двух лопастей.

Если придерживаться этого принципа , то при одной и той же мощности уменьшатся обороты и уменьшится тяга относительно исходного двухлопастного винта.
Можно посмотреть в программе ThrustHP.

Теоретически увеличение шага при переходе на 3 лопасти с уменьшением диаметра на 1 дюйм совсем ни к чему, если диаметр винта больше 10 дюймов.

BelMik

Напишите параметры мотора, двухлопастного винта, и батареи на которой летаете, скажу эквивалентный трехлопастный винт.

Игорь_Петрович

а как же авиация с тенденцией увеличения количества лопастей , от двух до четырёх и шести? а так же появление соосных винтов ? что то ускользает для получения чёткой картины разници при замене винтов, помню из опыта на кордовых моделях - при установке трёх лопастного винта - менялось поведение модели на ручке в лучшую сторону , ну не могло же быть впечатление ложным, тем более у нескольких человек

Vootshi
boroda_de:

Для рассчёта диамтра многолопастного винта умножаем диаметр двухлопастного на корень четвёртой степени из соотношения количества лопастей двухлопастного к количеству лопастей многолопастного.
D³= D² x 4 √(2/3)
Приближенно: ставим винт на дюйм меньше диаметром и на дюйм больше шагом

Спасибо, давно искал эту формулу, ибо есть неудержимое рвение к многолопастным винтам. К бензокосилкам, полагаю, тоже подходит?

111
Игорь_Петрович:

а как же авиация с тенденцией увеличения количества лопастей , от двух до четырёх и шести? а так же появление соосных винтов ?

там это вынужденное решение - компромис между мощностью, диаметром винтов и высотой стоек шасси.

boroda_de

У очень больших пропеллеров ещё законцовки пытаются на сверхзвук выйти, поэтому тоже уменьшают диаметр

Vootshi:

К бензокосилкам

Не знаю, как скажется бОльший вес на работе мотора, а так подходит

vlad_den
111:

там это вынужденное решение - компромис между мощностью, диаметром винтов и высотой стоек шасси

К сказанному добавил бы, что в реальных размерах скорость движения лопасти в концевой части может приближаться к скорости звука, что резко ухудшает условия обтекания лопасти и эффективность винта. Отсюда увеличение количества лопастей при уменьшении диаметра винта, применение саблевидных лопастей.

Пока писАл, Юрий опередил…

Barmaley85
BelMik:

Напишите параметры мотора, двухлопастного винта, и батареи на которой летаете, скажу эквивалентный трехлопастный винт.

мотор 5320 акси, 249кв, винт 18х8 дюйма, батареи 5000мах 12 банок, регуль акси спин77 77 ампер, тяга при полностью заряженых акках получаеться примерно 8-8,2кг, мерял обычными весами динамометром…

KBV

а мне показалось или нет, что от 3х лопастников меньше вибраций?