Не знаю сюда ли эта тема, но может кто подскажет ветку по снегоходам-ратракам?
Не знаю сюда ли эта тема, но может кто подскажет ветку по снегоходам-ратракам?
Так же этот вопрос интересует !
Не знаю сюда ли эта тема, но может кто подскажет ветку по снегоходам-ратракам?
Раз спецтехника - значит сюда!
Ждем фото и описание как делали или делаете
Решил сделать (напечатать на 3D принтере) вот такой ратрак PistenBully ! Файлы нашел на просторах интернета . Масштаб будет на 20% меньше , так как некоторые детали не помещаются на стол 3D принтера . Копийность - по- мотивам ! Пластик PLA , гусеницы - BFLEX.
Начал с изготовления гусениц ! Лента состоит из трех частей + еще 6 деталей. Первый раз печатал эластичным пластиком . Не все сразу получилось ! Но кое что получилось . Сильно не ругайте .
Напечатал из BFLEX гибкие рамки окон для кабины ! Не знаю оставить такие - мягкие или сделать из пластика - жесткие , потом покрасить . Дело за кабиной !
Ходовая часть ! Сделал немного . Подшипники уже были . Пока "пробная сборка ". Винты М2х5 закончились.
Продолжаем ! Пластик заканчивается - очень жаль . Возник вопрос ? Как сделать привод с редукторами ? Сколько оборотов в минуту нужен редуктор ? Заказал конические пары . Ведущий вал (с резьбой) 4 мм . Может что то получится . На фото просто примерка шестеренки.
Очередная примерка ! Так как гусеница состоит из трех частей , возникают проблемы при движении на изгибах гусеницы ( как бы притормаживает ) ! Это при движении рукой . Может при движении от ведущей оси ( редуктора ) все будет по другому. Хватит мощности провернуть . Редукторов пока нет . Думаю какие приобрести .
Вот пока все ! Пластик закончился .
Приехали шестеренки ( конические пары ) . Соединение будет с редуктором через кардан . Двигатель придется немного сдвинуть . Вот что получается на данный момент . Мотор-редуктор не знаю на сколько оборотов брать ! Может кто подскажет ?
Пока вот так ! Жду карданы и т.д.
Пока есть время . Дополнение !
Мотор-редуктор не знаю на сколько оборотов брать ! Может кто подскажет ?
Может на западных форумах поискать в профильных темах, если есть такие? А какие моторы в оригинале используются? Всё хочу спросить,а почему пла, а не абс пластик?
А какие моторы в оригинале используются? Всё хочу спросить,а почему пла, а не абс пластик?
Оригинальный редуктор тоже “печатный”. Так как я делаю масштаб меньше на 20% , этот редуктор не подходит . зубчатые ремни не подойдут . По этому решил по-другому сделать . Информация по двигателю МИНИМАЛЬНАЯ . Насчет пластика ! В оригинале написано PLA . Так как принтер без закрытой камеры , печать объемных деталей из ABS затруднительна. “Отдирает углы” от стола и слои плохо соединяются. С PLA все проще. Одна проблема- PLA не любит нагрева (плывет) .
Мотор-редуктор не знаю на сколько оборотов брать ! Может кто подскажет ?
Надо исходить из того, какая максимальная скорость движения нужна, а потом , зная диаметр ведущей звездочки, рассчитать число оборотов
Максимальная скорость прототипа 1:1 20-25 км\ч. В масштабе ± 1\16 получаем - 1500 м\ч или 25 м\мин или 41см\сек. Диаметр ведущей звездочки 40 мм. Длина окружности получается 125 мм. И так - 25м\мин.(25000мм\мин) делим на 125мм (длину окружности ведущей звездочки) - получаем 200 об\мин, которые должна делать ведущая звездочка , чтобы пройти заданное расстояние в минуту ( 25м). Все расчеты "ПРИБЛИЗИТЕЛЬНО ". Если что не правильно -поправьте !
В масштабе ± 1\16 получаем - 1500 м\ч
Не слишком медленно? Может стоит выбрать скорость около 4-5 км/ч
Хотя сейчас посмотрел проект, передаточное число от мотора к звездочке около 250-260(3 ступени 8*8*4), с учетом моторов 2800кв, получается 90 оборотов в минуту
Не слишком медленно? Может стоит выбрать скорость около 4-5 км/ч
Да! Согласен ! Наверно надо немного увеличить скорость . 4-5 км/ч это примерно скорость пешехода ! Если 200об\м. - 1.5км\ч - 41см\сек. то скорее всего надо увеличить об\мин. в 2-2.5 раз. - 400-500 об\мин. Питание будет 7.4в . Что лучше выбрать ? Кто то сделал это ( не реклама)
Вот еще что про этот проект нашел . Motor and esc setup. 2 Pcs
Racerstar-2838-Sensorless-Waterproof-Motor-36004500KV-35A-ESC-For-112-114-Cars-p-1056318.
Питание будет 7.4в . Что лучше выбрать ?
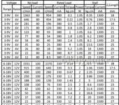
Из таблицы я бы выбрал 6в 646 об/мин, или 12в 915об/мин(во втором варианте при 6в ~460об/мин)
или трех баночный аккумулятор и 12в 400об/мин для большего тягового усилия
с учетом моторов 2800кв, получается 90 оборотов в минуту
Скорее всего 28хх -это модель двигателя , а обороты 3500-4500 kv. Racerstar-2838-Sensorless-Waterproof-Motor-36004500KV. В предыдущем посте по ссылке видео посмотрите. Там в описании .
Пока нет редукторов и карданов , решил прикинуть как все будет . Длина кардана скорее всего будет другой.
Немного продолжения ! Редуктора , карданы, esc еще не приехали , но приехали “мигалки”. Обычные с алика ( не реклама). Несколько режимов работы . Забыл заказать Y разветвитель для проводов. Не охота разъемы отрезать ! Пока вот так !
{"assets_hash":"a8b26fa7f6e768b07a72c8c9aadb9422","page_data":{"users":{"48d5ac083df95500777773b3":{"_id":"48d5ac083df95500777773b3","hid":38596,"name":"Gora77","nick":"Gora77","avatar_id":null,"css":""},"491ea1623df95500777757b6":{"_id":"491ea1623df95500777757b6","hid":40685,"name":"pilon310","nick":"pilon310","avatar_id":null,"css":""},"497c98563df9550077772bcf":{"_id":"497c98563df9550077772bcf","hid":43332,"name":"luk19-61","nick":"luk19-61","avatar_id":null,"css":""},"4ed1285c3df955007774b9d5":{"_id":"4ed1285c3df955007774b9d5","hid":106703,"name":"dalnoboi","nick":"dalnoboi","avatar_id":null,"css":""},"502f35ad3df9550077740df5":{"_id":"502f35ad3df9550077740df5","hid":123918,"name":"nev26","nick":"nev26","avatar_id":null,"css":""},"5083dce33df955007773e8ec":{"_id":"5083dce33df955007773e8ec","hid":127622,"name":"yasik","nick":"yasik","avatar_id":null,"css":""}},"settings":{"can_see_ip":false,"can_report_abuse":false,"can_see_hellbanned":false,"forum_can_view":true,"forum_can_reply":false,"forum_edit_max_time":30,"forum_can_close_topic":false,"forum_show_ignored":false,"forum_mod_can_delete_topics":false,"forum_mod_can_hard_delete_topics":false,"forum_mod_can_see_hard_deleted_topics":false,"forum_mod_can_edit_posts":false,"forum_mod_can_pin_topic":false,"forum_mod_can_edit_titles":false,"forum_mod_can_close_topic":false,"can_vote":false,"forum_mod_can_add_infractions":false,"forum_topic_title_min_length":10,"forum_reply_old_post_threshold":30,"votes_add_max_time":168,"forum_show_post_interval":7,"can_see_deleted_users":false},"section":{"_id":"61c9a54c3df9550077bb51b6","hid":108,"title":"Грузовики, спецтехника","parent":"61c9a54c3df9550077bb50ff","description":"Модели грузовиков, тракторов и т.д.","is_category":false,"is_votable":true,"is_writable":true,"cache":{"topic_count":438,"post_count":18089,"last_post":"653f453cc68e4ffcbc1fefc6","last_topic":"6535524ec68e4ffcbc120611","last_topic_hid":572199,"last_topic_title":"БМД-1. М 1:12","last_ts":"2023-10-30T05:55:08.666Z","last_user":"527941e93df955007773025d"}},"topic":{"_id":"5e8033553df9550077bfd8b4","hid":553925,"title":"Снегоход -ратрак для снежных покатушек.","views_count":57927,"last_post_counter":58,"cache":{"post_count":57,"first_post":"5e8033553df9550077bfdaf2","first_ts":"2020-03-29T05:34:13.000Z","first_user":"491ea1623df95500777757b6","last_post":"61d817b70dcefb009b871d06","last_post_hid":58,"last_ts":"2022-01-07T10:36:39.928Z","last_user":"57c805e13df955007770dedc"},"st":1,"section":"61c9a54c3df9550077bb51b6"},"subscription":null,"pagination":{"total":57,"per_page":25,"chunk_offset":0},"posts_list_before_post":["paginator","datediff"]},"locale":"en-US","user_id":"000000000000000000000000","user_hid":0,"user_name":"","user_nick":"","user_avatar":null,"is_member":false,"settings":{"can_access_acp":false,"can_use_dialogs":false,"hide_heavy_content":false},"unread_dialogs":false,"footer":{"rules":{"to":"common.rules"},"contacts":{"to":"rco-nodeca.contacts"}},"navbar":{"tracker":{"to":"users.tracker","autoselect":false,"priority":10},"forum":{"to":"forum.index"},"blogs":{"to":"blogs.index"},"clubs":{"to":"clubs.index"},"market":{"to":"market.index.buy"}},"recaptcha":{"public_key":"6LcyTs0dAAAAADW_1wxPfl0IHuXxBG7vMSSX26Z4"},"layout":"common.layout"}